[HomePage] Prof Morris Kline  

 
 



CHAPTER 11- The Proper Direction for Reform.

"Logic can be patient for it is eternal."


Oliver Heaviside

We have shown that the traditional curriculum is defective in a number of respects and that the new mathematics curriculum certainly does not remedy the defects of the traditiona1 curriculum. In addition, it introduces new defects. What direction, then, should effective reform take? Put roughly for the moment, the direction should be diametrically opposite to that taken by the new mathematics.

Before we can consider the approach and contents of a suitable elementary and high school curriculum, we must consider the objectives or goals of these stages of education. On the elementary school level there can be no consideration of preparation for college. On1y a small percentage of these students will go to college. Even on the high school level, from which about fifty per cent of present day graduates enter college, the students are still ignorant of the nature and importance of the various subjects they are asked to take. For many subjects, including mathematic? (beyond arithmetic), the high school offering is an introduction. Moreover, very few of the college-bound students will specialize in mathematics. Even those who think tbey will become mathematicians should be advised not to specialize until they know much more about what the various subjects have to offer. Hence the education for all these students should be broad rather than deep. It should be a truly liberal arts education wherein students not only get to know what a subject is about but a1so what role it plays in our culture and our society. Put negatively, there should be no attempt to train professionals in mathematics and little concern for what future study in mathematics may require. In view of these facts, what values, beyond the arithmetic of daily needs, can mathematics offer?

Mathematics is the key to our understanding of the physica1 world; it has given us power over nature; and it has given man the conviction that he can continue to fathom the secrets of nature. Mathematics has enabled painters to paint realistically, and has furnished not only an understanding of musical sounds but an analysis of such sounds that is indispensable in the design of the telephone, the phonograph, radio, and other sound recording and reproducing instruments. Mathematics is becoming increasingly valuable in biological and medical research. The question What is truth? cannot be discussed without involving the role that mathematics has played in convincing man that he can or cannot obtain truths. Much of our literature is permeated with themes treating mathematical accomplishments. Indeed, it is often impossible to understand many writers and poets unless one knows what influences of mathematics they are reacting to. Lastly, mathematics is indispensable in our technology.

Should such uses and values of mathematics be taught in mathematics courses? Certainly! Knowledge is a whole and mathematics is part of that whole. The subject did not develop apart from other activities and interests. To teach mathematics as a separate discipline is a perversion, a corruption and a distortion of true knowledge. If we are cřmpelled for practical reasons to separate learning into mathematics, science, history and other subjects, let us at least recognize that this separation is artificial and false. Each subject is an approach to knowledge and any mixing or overlap where convenient and pedagogically useful, is desirable and to be welcomed.

What we should be fashioning and teaching, then, beyond mathematics proper, are the relationships of mathematics to other human interests - in other words, a broad cultural mathematics curriculum which achieves an intimate communion with the main currents of thought and our cultural heritage. Some of these relationships can serve as motivation; others wou1d be applications; and still others wou1d supply interesting reading and discussion materia1 that wou1d vary and enliven the content of our mathematics courses.

Can such material be introduced at the elementary and high school levels? Of course. In fact, if even the elementary levels of our subject did not have intimate relationships with the major and vital branches - of our culture, the subject would not warrant an important place in the curriculum.

The need to relate mathematics to our cu1ture has been stressed by Alfred North Whitehead, the deepest philosopher of our age and a man capable of the most exacting abstract thought. In his essay The Aims of Education, written in 1912, Whitehead says,

In scientific training, the flrst thing to do with an idea is to prove it. But allow me for one moment to extend the meaning of "prove"; I mean - to prove its worth. . .

The solution which I am urging, is to eradicate the fatal disconnection of subjects which kills the vitality of our modern curriculum. There is only one subject-matter for education, and that is Life in all its manifestations. Instead of this single unity, we offer children Algebra, from which nothing follows; Geometry, from which nothing follows. . .

Let us now return to quadratic equations. . . . Why should children be taught their solution? . . .

Quadratic equations are part of algebra and algebra is the intellectual instrument for rendering clear the quantitative aspects of the world.

In his essay of 1912, "Mathematics and Libera1 Education" (published in Essays in Science and Philosophy), Whitehead goes further.

Elementary mathematics . . . must be purged of every element which can only be justified by reference to a more prolonged course of study. There can be nothing more destructive of true education than to spend long hours in the acquirement of ideas and methods which lead nowhere . . . there is a widely-spread sense of boredom with the very idea of learning. I attribute this to the fact that they [the students] have been taught too many things merely in the air, things which have no coherence with any train of thought such as would naturally occur to anyone, however intellectual, who has his being in this modern world. The whole apparatus of learning appears to them as nonsense
. . . Now the effect which we want to produce on our pupils is to generate a capacity to apply ideas to the concrete uni-verse. . . . The study of algebra should commence with a systematic study of the practical application of mathematical ideas of quantity to some important subject. [In geometry, likewise, the curriculum] should be rigidly purged of all propositions which might apear to the student to be merely curiosities without important bearings. . .What, in a few words, is the final outcome of our thoughts? It is that the elements of mathematics should be treated as the study of a set of fundamental ideas, the importance of which the student can immediately appreciate; that every proposition and method which cannot pass this test, however important for a more advanced study, should be ruthlessly cut out. . . . Again this rough summary can be further abbreviated into one essential principle, namely, simplify the details and emphasize the important principles and applications.

In 19l2; Whitehead was addressing himself to the traditional curriculum, but the criticisms and positive recommendations apply with all the more force today.

Mathematics is not an isolated, self-sufficient body of knowledge. It exists primarily to help man understand and master the physical, the economic and the social worlds. It serves ends and purposes. We must constantly show what it accomplishes in domains outside of mathematics. We can hope and try to inculcate interest in mathematics proper and the enjoyment of mathematics but these must be by-products of the larger goal of showing what mathematics accomplishes.

Some men have gone so far as to recommend combining mathematics and science. Professor E. H. Moore, a noted mathematician, formerly of the University of Chicago, addressed himself in his paper "On the Foundations of Mathematics" to the problem of teaching mathematics and recommended combining mathematics and science on the high school level. He urged that the artificial separation of pure and applied mathematics be ended and that we build a continuous correlated program in secondary mathematics and science. In this way we might succeed in arousing in the learner "a feeling that mathematics is indeed a fundamental reality of the domain of thought, and not merely a matter of symbols and arbitrary rules and conventions."

Whether or not mathematics should be combined with science, by presenting mathematics as a part of man's efforts to understand and master his world we would be giving students the historically and currently valid reason for the great importance of the field. This is also the primary reason for the presence of mathematics in the curriculum. We are therefore obliged to present this value of mathematics. Anything less is cheating the student out of the fruit of his learning.

By catering to the general student we do not in fact ignore the future professional. A small percentage of the stndents will be physicists, chemists, engineers, social scientists, technicians, statisticians, actuaries, and so on. It is desirable that these students get, as early as possible, some knowledge of how mathematics can help them in their future work. In fact, if they are already inclined toward one of these careers and if we show them how mathematics is useful in it, they will take an interest, in the subject on behalf of their careers. Even if students do not already incline toward a particular career, we are obliged to open up the world to them and to make clear the nature of the various professions. One important way of doing this is to show how mathematics is involved in these fields.

To present mathematics as a liberal arts subject requires a radical shift in point of view. The traditional and modern approaches treat mathematics as a continuing cumulative logical development. Algebra precedes geometry because some algebra is used in geometry. Trigonometry follows geometry because a modicum of geometry is used in the former subject. The new approath would present what is interesting, enlightening, and culturally significant - restricted only by a slight need to include earlier concepts and techniques that will be used later. In other words, we should be objective-oriented rather than subject-oriented.

We have stressed so far that mathematics must be presented as an integrated part of a liberal education. Equally vital is another principle that should guide the presentation of mathematics proper, a principle disresgarded by the traditional curriculum and even more so by the modern mathematics curriculum. Every mathematical topic must be motívated. Mathematics proper does not appeal to most students and they constantly ask the question, "Why do l have to learn this material?" This question is thoroughly justified.

Mathematics proper is a very limited subject. Hermann Weyl, one of the great mathematicians of our time and a man who worked in many branches of mathematics and mathematical physics, said in 1951,

"One may say that mathematics talks about things which are of no concern at all to man. . . . It seems an irony of creation that man's mind knows how to handle things the better - the farther removed they are from the center of his existence. Thus we are cleverest where knowledge matters least: in mathematics, especially in number theory."

Mathematics deals with abstractions and this in itself is one of its severest limitations. A discourse on the nature of man can hardly be as rich, as satisfying and as life-fulfilling as living with people, even though one may learn a great deal about people from an abstract discussion of man. To talk or to read about children is not to bring up a child. Beyond the fact that it ís abstract the subject matter of these abstractions is remote. All of mathematics treats numbers and geometrical figures and generalizations arising from these basic concepts. But numbers and geometrical figures are insignificant properties of real objects. A rectangle may indeed be the shape of a piece of land or the frame of a painting but the shape is incidental to the real value of the land or the painting.

Mathematics proper does not and perhaps should not appeal to ninety-eight per cent of the students. It is an esoteric study, entirely intellectual in its appeal and lacking the emotiona1 appeal of, say, music and painting. The creative mathematician may derive some emotiona1 values such as satisfaction of the ego, pride in achievement, and glory - values none too noble. in any case - but the student cannot derive even these values from the study of the subject, or if he does, the strength of these emotions is slight. Intellectual challenge may arouse some people, but one could hardly refute those who would maintain that the challenges of building a more humane society and securing honest leaders are more important.

Hence, motivation for the nonmathematician cannot be mathematical. We have already noted that it is pointless to motivate complex numbers for the general student by asking for solutions of x2 + 1 = 0. Since nonmathomaticians don't care to solve x - 2 = 0 why shou1d they care to solve the former equation? Calculus texts motivate many of the concepts and theorems by applying them to the calculation of areas, volumes and arc-lengths. But these are also mathematical topics and the fact that the calculus enables us to calculate them does not make the subject more engrossing to the nonmathematician. The pointlessness to the students of the many theorems of Euclidean geometry has soured them on geometry; hence more geometry, even if via the calculus, will arouse distaste for the calculus rather than interest. The argument that the calculus gives us a power to do what the more elementary subjects cannot do certainly does not impress students who dont wish to ca1culate areas, volumes and arc-lengths in the first place.

The natural motivation is the study of real, largely physical, problems. Practically all the major beanches of mathematics arose in response to such problems and certainly on the elementary level this motivation is genuine. It may perhaps seem strange that the great significance of mathematics lies outside of mathematics but this fact be reckoned with. For most people, including the great mathematician, the richness and values that do attach to mathematics derive from its use in studying the real world. Mathematics is a means to an end. One uses the concepts and reasoning to achieve results about real things.

One would think that teachers on all levels should have long since recognized the deplorable lack of motivation, and instead of turning to new approaches to old subject matter and to new subject matter would have tackled the problem of motivation. There are, of course, ssome acceptable excuses for this failure. The average schoolteacher is obliged to follow a curriculum that is laid out for him. He may in his own class do something to inspire his students, but he is generally limited with re-spect to the time to do this. Moreover, revision so as to provide motivation would require a new approach. If it should lead to a new order of topics, he would not be allowed to depart from the syllabus and the material would be prohibited.

But participants in educational reform cannot be excused for their failure to supply motivation. The professors of mathematics education have been men of limited vision. Though their task is to teach how to present mathematics, they do not themselves know wby mathematics is important and where it makes contact with real problems that might be used to motivate the student. Up to the time that the modern curriculum was fashioned, the college professor took little interest the elementary and high school courses. They did take the lead in fashioning the new curriculum and we have already noted their shortcomings. On all these accounts the problem of motivation has not been met.

The motivation must be presented along witb the topic to be taught. It will not do to assure students that they will some day appreciate the value of the mathematics they are asked to learn, If a subject has any va1ue, then as Whitehead points out, the student must be able to appreciate its importance immediately; or as he put it in his Aims of Education, Whatever interest attaches to your subject matter must be evoked here and now. If mathematics is not revivified by the air of reality we cannot hope that it will survive as an important element in liberal education.

Would rea1 problems meet tbe interests of young people They live in the rea1 world and, like all human beings, either have some curiosity about real phenomena or can be far more readily aroused to take an interest in them than in abstract mathematics. Hence there is an excellent prospect that the genuine motivation will also be the one that interests students, and, indeed, some limited experience has shown this to be the case. But if it is not the complete answer, then further work must be done to secure the effective motivation. If puzzles, games, or other devices serve at particular age levels, these too can be used - though they cannot be the major source of motivation, else students will get the wrong impression of the value of mathematics. Certainly far more work can be done to cull motivating problems which would be genuine and meaningful to the student.

Motivation does not a1ways call for preceding the treatment of a mathematical topic by a problem drawn from the sciences or real life. It is sometímes more convenient to introduce a mathematical topic, present the mathematics and then immediately apply it to a nonmathematical situation. For example, one of the topics of elementary geometry is parallel lines. One may present this and then show how a simple theorem enables us to calculate the circumference of the earth. The parabola as a curve may be taught as just a locus problem. But then the uses of the parabola in focusing and directing light and radio waves should surely be presented. Pictures of automobile headlights, radio antennas, searchlights and even the common flashlight show these uses in real situations. In algebra we study linear and quadratic functions. These may be applied readily to calculating how high a ball or projectile directed straight up will go and whether the projectile can reach a desired height. In this age of space exploration shooting up rockets and spaceships can be an absorbing topic even if only the simplest problems can be considered at the high school level.

By neglecting motivation and application the pedagogues have caused mathematics education to suffer. These men have presented the stem but not the flower and so have failed to present the true worth of what they are teaching. They call upon students to fight battles but do not tell them why they are engaged in them. Even the United States Army knows better. Some of the poorest teaching of mathematics is traceable to teacbers treating the subject as though it had no connection with anything beyond its technical confines. What is especially grievous, then, about the teaching of mathematics, traditional or new, is not that the teachers do not know what they are teaching but that they do not know and so cannot show pupils why mathematics is vital.

There are many professors and teachers who feel that motivation and application are a departure from the legitimate content of mathematics courses. But knowing what mathematics does is part of knowing mathematics. Moreover, without motivation students do not take to the mathematics proper and consequently little is accomplished by teaching just the mathematics. Plutarch said, "The mind is not a vessel to be filled but a fire to be kindled." Motivation kindles the fire.

The use of real and especially physical problems serves not only to motivate mathemaiics but to give meaning to it. Negative numbers are not just inverses under addition to positive integers but are the number of degrees below 00 on a thermometer. The ellipse is not just a peculiar locus but the path of a planet or a comet. Functions are not sets of ordered pairs but relationships between real variables such as the height and time of flight of a ball thrown up into the air, the distance of a planet from the sun at various times of the year, and the population of a country over some period of years. Functions are laws of the universe and of society. Mathematical concepts arose from such physical situations or phenomena and their meanings were physical for those who created mathematics in the first place. To rob the concepts of their meaning is to keep the rind and to throw away the fruit.

Even one of the major curriculum groups, The Secondary School Curriculum Committee of the National Council of Teachers of Mathematics, stressed the value of applications in giving meaning to mathematics:

"Applications of mathematics are important as media through which pupils might gain deeper appreciation of the tool value of mathematics and as aids in the clarification and illustration of mathematical content."

Similarly, severa1 of the individuals active in the modern mathematics curriculum work have spoken and written in favor of applications. One of these men went so far as to say that if in the study of mathematics there were no physical applications it would be necessary to invent some. But the texts are devoid of such applications.

There is another value to be derived from developing mathematics from real situations. One of the greatest difficulties that students encounter in mathematics is solving verbal problems. They do not know how to translate the verbal information into mathematical form. Under the usual presentations in the traditional and modern mathematics curricula this difficulty is to be expected. Mathematics is presented in and for itself, divorced from physical meaning, and then the students are called upon relate this isolated, meaningless mathematics to real situations. Clearly they have no foundation on which to think about such situations. On the other hand, if the mathematics is drawn from real problems, the difficulty of translation is automatically disposed of.

So far as the actual manner of presenting mathematics is concerned, there is another principle that should be followed. Mathematics should be developed not deductively but constructively. Alternatively one says today that one must teach discovery. The lip service paid to this principle would fill many volumes, but the practice could be encompassed in the empty set. The constructive approach means that the students should do the building of the theoems and the proofs. The student should be creating mathematics. Of course, he will actually be re-creating it with the aid of a teacher. He can be gotten to do this if he is allowed and even encouraged to think intuitively, but he cannot be expected to discover within the framework of a logical development that is almost always a highly sophisticated and artificial reconstruction of the original creative work. The constructive approach ensures understanding and teaches independent, productive thinking.

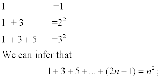
Teaching discovery is by no means a simple job. It calls for getting the students to use intuition, guessing, trial and error, genera1ization of known results, relating what is sought to known results, utilizing the geometrical meaning of algebraic statements, measuring, and dozens of other devices. It is relatively easy to get students to see that from

in other words, the sum of the first n odd numbers is n2. Likewise, a picture of an isosceles triaugle suggests readily that the base angles are equal. Measuring the sides of severa1 right triangles will lead students to the conclusion that the square of the hypotenuse equals the sum of the squares of the arms. But most often, teaching discovery calls for carefully preparing a series of simple questions which gradually lead to the desired conclusion. Even teaching discovery of such a relatively simple result as the quadratic formula is no longer easy.

The Socratic method of asking questions which lead students to discover a result must be used judiciously. The questions must be reasonable and answerable by most of the students. Otherwise the students will feel defeated and become disinterested. Students must acquire confidence in their own powers. They are more likely to do so if they contribute to the building of mathematics rather than being asked to learn a sophisticated theorem and proof which is the end result of much refashioning of older and cruder versions.

It is understandable and somewhat justifiable that authors of research papers do not communicate all the thinking, wandering, fa1se starts, and guessing that led them to their theorems and proofs. It is deplorable if, by hiding from youngsters the existence of the fumbling and futile efforts, we give the impression that mathematicians reason directly and unfailingly to their conclusions. We not only rob students of the fun of discovery but we destroy the self-confidence that might have been built up if we had told them the truth and had led them to appreciate how difficult discovering the right theorem and proof really is.

Teachers are so anxious to cover ground that they hand down the final statements and proofs to the students, and since the students are not ready for such material they resort to memorization. To teach thinking we let the students think, let the students build up the results and proofs even if incorrect. Let them learn also to judge correctness for themselves. Let's not push facts down students throats. We are not packing articles in a trunk. This type of teaching dulls minds rather than sharpens them.

Culture is as much a process as a product. Until the sixteenth century it meant cultivation of the soil and, as we know, one does not put the fruit in the soil. One plants seeds and nourishes them. To teach students to pursue knowledge is part of a liberal education. We should get students to want to pursue it and not proclaim it to them.

The commonly accepted assertion that mathematics teaches people to think has not been tested. Mathematics instruction, old and new, has not been designed to teach people to think but to follow the leader, the teacher. In the traditiona1 curriculum the students are taught to follow processes and repeat proofs. Today, under the new mathematics, the students memorize definitions and proofs. In fact, they are forced to memorize because the level of the materia1 is beyond them.

In building mathematics constructively the genetic principle is enormously helpful as a guide. This principle says that the historical order is usually the right order and that the difficulties which mathematicians themsehes experienced are just the difficulties our students will experience. Irrationa1 numbers, negative numbers and complex numbers were bones in the throats of the best mathematicians. We may be sure, then, that the students are going to have trouble with these numbers. Hence we must be prepared for, and help them overcome, these particular difficulties, and we can be guided to a large extent by how mathematicians were convinced to acceptwork with these numbers. Extending the distributive law to negative numbers will be of no help at all in getting students to feel at home with them.

Teaching constructively, as we have already remarked, is by no means easy. But there is no royal road. To enjoy the view from a mountain top one must get to the top. In mathematics there is no easy air-lift. The cables in young peoples minds break down. But in the skillful employment of the process of discovery lies the true art of teaching. In this approach we arouse and develop the creative powers of the student and give hiixi the delight of accomplishment.

Having gotten students to discover a result, by what ever means, one must face the matter of proof. There is no question that deductive proof is the hallmark of mathematics. No result is accepted into the body of mathematics until it has been proved deductively on the basis of an explicit set of axioms. However, proof as a criterion for the acceptance of a result by mathematicians and proof regarded from the standpoint of pedagogy are entirely different matters. We have already had occasion (Chapters 4 and 5) to point out the gross failings of insisting on logical or deductive proof as the pedagogical approach to mathematics. What is the alternative?

Contrary to what was done for generations in some branches of mathematics, such as Euclidean geometry where the teaching of deductive proof was the outstanding objective, and contrary to the approach of the modern mathematics curriculum, the basic approach to all new subject matter at all levels should be intuitive. This recommendation may appear to be treason to mathematics, but it ěs loyalty to pedagogy.

Admittedly the nature of intuition is somewhat vague. It denotes some direct grasp of the idea, whether it be a concept or proof. There may be a special intuitive faculty distinct from the logical faculty that criticizes and reasons. Whether or not there is an intuitive faculty, there are specific and explicit aids to the intuition which enable it to function. Primarily, one makes sense of mathematics through the senses, for, as Aristotle first put it, there is nothing in the intellect that was not first in the senses - though Leibniz added, except the intellect itself. Hence, one of the useful devices is a picture. Consider exhibiting several triangles to inculcate the idea as opposed to the deflnition: the union of three noncollinear points and the line segments joining them. Most students, even after being taught how to multiply a + b by a + b, whether mechanically or logically, will state that (a + b)2 = a2 + b2. A picture would help. It is clear from the picture (Fig. p189) that the area of a square whose side is a + b is a2 + 2ab + b2.

We include in the intuitive approach what are often called heuristic arguments. Through experience with actual objects a child can learn that 3 + 4 = 4 + 3. The generalization that a + b = b + a is heuristic.

Reasoning by analogy, though not at all deductive but heuristic, can be employed to great advantage. Students have great trouble working with irrational numbers expressed as radicals.

As a matter of fact the Hindus and the Arabs, who were the first to work with radicals, reasoned entirely by analogy; and the Europeans, who learned these operations from the Arabs, did the same thing. The logical basis for irrational numbers was not erected until the late nineteenth century.

The intuition can be appealed to through physical arguments. Among the operations with negative numbers the multiplication of positive and negative numbers causes endless trouble. A well-known presentation based on gains and losses can convince students. Lets agree that if a man handles money a gain will be represented by a positive number and a loss by a negative number. Also, time in the future will be represented by a positive number and time in the past by a negative number. We can now use negative numbers to calculate the increase or decrease in a man's wealth. Thus, if he gains five dollars a day, three days in the future he will be fifteen dollars richer. In symbols (+5)(+3) = 15. If he loses five dollars a day, then three days in the future he will be fifteen dollars poorer. In symbols (- 5) (+ 3) = -15. If he gains five dollars a day, then three days ago he was fifteen dollars poorer. In symbols (+5)(-3) = -15. Finally, if he loses five dollars a day, then three days ago he was fifteen dollars richer. In symbols (- 5) (- 3) = 15. Other situations such as water flowing in and out of a tank may also be used to reinforce these rules of multipliction. Several texts use what is called the number line and motions back and forth to teach the same ru1es. Probably all of these situations should be used. Such concrete presentations may convince students that the definitions for multiplication with negative numbers are reasonable and useful.

Another example of an appeal to physica1 happenings would be to argue that if a ball is thrown up into the air its velocity at the maximum height is zero because ěf it were positive the ball would continue to rise whereas if it were negative it would be falling. Such an argument can be used to get students to set the velocity equal to 0 in order to calculate the time to reach maximum height.

All of the above devices, pictures, heuristic arguments,induction, reasoning by analogy, and physical arguments are appeals to the intuition. Of course, the intuition is not static. Just as ones intuition about what to expect in human behavior improves with experience so does the mathematical intuition. The latter may indeed suggest, as it did to Leibniz, that the derivative of a product of two functions is the product of the derivatives. The conclusion should be tested, another heuristic measure, and of course will be found to be false. Deeper analysis will show that what holds for limits of functions does - not hold for derivatives, and the intuition will be sharpened by this experience.

Clearly the intuitive approach can lead to error, but committing errors and learning to check ones results are part of the learning process. Truth, Francis Bacon noted, emerges more readily from error than from confusion. If the fear of errors is to be a deterrent, a child would never learn to walk; and a student who makes no mistakes makes nothing else either.

The intuitive approach is further recominended in that it is relatively easy to give a genuine or significant motivation to a mathematicai topic when this is introduced intuitively or heuristically because physical problems are the natural starting point for an intuitive approach. A logical presentation, on the other hand, is difficult to motivate because the latter is many stages removed from reality and is often artificial. How does one motivate a fraction when it is to be introduced as a set of equivalent ordered couples of natural numbers.

It is our contention that understanding is achieved intuitively and that the logical presentation is at best a subordinate and supplementary aid to learning and at worst a decided obstacle. Hence, instead of presenting mathematics as rigorously as possible, one should present it as intuitively as possible. As Professor Max M. Schiffer of Stanford University has stated it, "Never put logica1 carts before heuristic horses". Hermann Weyl defined the role of logic: "Logic is the hygiene which the mathematician practices to keep his ideas healthy and strong". And Jacques Hadamard, another of the famous mathematicians of our age, remarked that logic merely sanctions the conquests of the intuition. So far as understanding is concerned the use of logic in place of intuition amounts, in the words of the philosopher Arthur Schopenhauer, to cutting off ones legs in order to walk on crutches.

It is significant that when a mathematician reads a theorem which conflicts with his intuitive expectations his first move is to doubt not his intuition but the proof. He trusts his intuition more. If after having checked the proof carefully he becomes convinced that it is correct, he then inquires into what may be wrong with his intuition.

The intuitive approach can be strengthened immeasurably by incorporating in a mathenatical classroom what is often called a mathematics laboratory. This would consist of apparatus of various sorts which can be used to demonstrate physical happenings from which mathematical results can be inferred. A few very simple laboratory devices have been designed and are used to a limited extent. One of these consists of (Cuisenaire) rods, which are no more than sticks of various lengths with which one can perform arithmetic operations with positive and negative integers. A second device called a geoboard (introduced by Caleb Gattegno) is a wooden board with regular rows and columns of nails. By stretching rubber bands over some of the nails one can form various geometric figures and demonstrate simple relationships. Another device calls for attaching objects of various weights to a spring and show that the extension of the spring is proportional to the weight. This demonstration serves to introduce the linear function y = kx, wbere k depends on the tension in the spring. Still another simple device is the pendulum. One can increase or decrease the length of thependulum and measure the period of the pendulum for various lengths. The goal is to have the students find the functiona1 relationship between the length of the pendulum and the period T. is not readily obtained in this manner, but the numbers obtained by the student could be used as a basis for inferring, with the help of the teacher, what the precise formula is. Alternatively one could ask the students to find which is a little easier to discover, though again the teacher would have to aid in obtaining the precise formula. In either case the students would see the usefulness of a different kind of fnnctional relationship. Too often students are introduced to a variety of functions without appreciating that different physical phenomena require different functions.

An excellent instrument to enliven and enrich the teaching of trigonometry ís an oscilloscope. This is no more than a simplified television set. If we strike tuning forks of different frequencies more or less forcibly near a microphone, the osciiloscope displays on the screen the shapes of sinusoidal functions of various frequencies and amplitudes. These correspond to simple sounds. Moreover, by having students vocalize various sounds or by playing notes on several musica1 instruments the oscilloscope wilI show the graphs of these sounds. These graphs are readily shown to be combinations of sinusoidal graphs and so the student sees that voca1 and musical sounds are no more than combinations of the simple sounds given off by tuning forks. Many more phenomena can be displayed on the screen of the oscilloscope. The main point, however, is to breathe life into the trigonometric functions. The student comes to appreciate that these dry, cold, artificial functions are omnipresent. He speaks trigonometry every time he utters a word. Moreover, he can readily be shown how this knowledge about sounds can be used in the design of the telephone, phonograph, radio, and other sound recording or reproducing instruments.

Laboratory material might be used by the teacher to perform demonstrations or be used by the students themselves working together in small groups. While the idea of a mathematics laboratory is not new it has not been used on a wide scale, nor has enough attention been paid to the invention of clever and helpful devices. This fine pedagogical aid has been neglected. The support of the collaboration of mathematics teachers and engineers to devise laboratory material, a project which has never been undertaken, would be money far more wisely spent than the tens of millions of dollars devoted to the development of the modern mathematics curriculum.

Does the reliance upon intuition, whether or not backed by physical demonstrations, mean that deductive proof and rigor will play no role in elementary mathematics education? Not at all. After a student has thoroughly understood a result and appreciates that the arguent for it is merely plausěble, the teacher can consider a deductive proof. However, the very idea of a deductive proof must be learned and this can be introduced only gradually. In no case should one start with the deductive approach, even after students have come to know what this means. The deductive proof is the final step. Moreover, the level of rigor must be suited to the level of the students development. The proof need only convince the student. He should be allowed to accept and use any facts that are so obvious to him that he does not rea1ize he is using them. The capacity to appreciate rigor is a function of the mathematical age of the student and not of the age of mathematics. This appreciation is acquired gradually and the student must have the same freedom to make intuitive leaps that the greatest mathematicians had. Proofs of whatever nature should be invoked only where the students think they are required. The proof is meaningful when it answers the students doubts, when it proves what is not obvious. Intuition may fly the student to a conclusion but where doubt remains he may then be asked to call upon plodding logic to show tbe overland route to the same goal.

The level of rigor can, of course, be advanced as the student progresses. Poincaré makes this point.

"On the other hand, when he is more advanced, when he becomes faniliar with mathematical reasoning and his mind will be matured by this very experience, the doubts will be born of themselves and then your demonstration will be well received. It will awaken new doubts and the questions will arise successively to the child as they arose successively to our fathers to the point where on1y perfect rigor can satisfy him. It is not sufficient to doubt everything; it is necessary to know why one doubts."

Rigor will not refine an intuition that has not been allowed to function freely. The student must experience the gradual passage from what he regards as obvious to the not-so-obvious and to the need for a fuller proof. He will discover the need for rigor rather than have it imposed. on him.

This approach to rigor ís more than a pedagogical concession. If one wishes to teach how mathematics developed and how mathematicians think, then the gradual imposition of rigor is precisely what does take place. Apropos of this point E. H. Moore, in his article "On the Foundations of Mathematics", said,

"The question arises whether the abstract mathematicians in making precise the metes and bounds of logic and the special deductive sciences are not losing sight of the evolutionary character of all life-procsses, whether in the individual or in the race."

Critical thinking has been extolled as one of the great values to be derived from the study of mathematics. The modern mathematics leaders pride themselves on the fact that by emphasizing rigor they have promoted the development of critical thinking. But the capacity of the students to do critical thinking must be developed. If asked to assimilate and think critically about material that mathematicians took two thousand years to arrive at, the students will be overwhelmed - and instead of thinking will throw up their hands. To present young students with sophisticated mathematical formulations of basic ideas is entirely analogous to asking kindergarten students to be critical of a work in philosophy. There is no short-cut to the development of the critical faculty. As E. H. Moore put it, "Sufficient unto the day is the rigor thereof." And by the day he meant the students age.

Fortunately, young people will accept as rigorous and acquire a feeling for proof from proofs that are really not rigorous. Is this deception? No! it is pedagogy. At any rate, it is no more deception than we practice on ourselves. As our own capacity to appreciate more rigorous proofs increases, we are able to see flaws in the cruder proofs taught to us and to master master sounder proofs. This is a1so how the great mathematicians gradually improved the rigor of their subject. But let us not forget that there are no final rigorous proofs. Not all the symbolism of modern symbolic logic, Boolean algebra, set theory, and axiomatic methods have made or can make mathematics perfectly rigorous.

With respect to the technique of presentation there are additional principles to be observed. In place of abstract concepts we should as far as possible present concrete examples. Thus it does not matter if a student cannot give a general definition. of a function. lt suffices if he knows concrete functions such as y = 2x and y = x2 and learns how to work with them. After some experience with functions the student will be able to make his own definition. And if after further experience the definition has to be modified, no calamity has occurred. This is preciseiy how the mathematicians proceeded in the years from 1700 to 1900. Again it does not matter whether a student can define a polygon as long as he can recognize and work with it. In this connection a picture is worth a thousand words. We know what dogs and men are and we distinguish the two successfully without being able to define either one. Piaget has pointed out that young people need to build up layers of experience before they can master abstractěons. Insight into all kinds of knowledge comes and grows only with experience. As Whitehead has put it, "There is no roya1 road to learning through an airy path of brilliant generalizations. . . The problem of education is to make the pupil see the wood by means of the trees."

Instead of multiplying terminology we should introduce as few terms as possible. Common words, preferably those a1ready familiar to the student, shou1d be used even though the words are given technical meaning. Terminology should be kept to a minimum. Verbalizatěon comes after understanding, and it can be the students verbalization rather than the artificial compressed language of modern mathematics.

As in the case of termino1ogy symbolism too should be kept to a minimnum. Symbols scare students. Moreover, the meaning of a symbol must be remembered and so is often more of a burden than an aid. The gain ěn brevíty may not compensate for the disadvantages.

A few words about content may be in order. The two considerations previousiy discussed, the need to offer a liberal education and the need to motivate youngsters, should have the highest priority in determining content on the elementary and high school levels. It would of course be desirable, in view of the somewhat sequentia1 nature of mathematics, to incorporate the subjects that are normnally taught at the various levels so that those students who pursue the subject further at the college level are not seriously delayed by the omission of necessary subject matter. Fortunately, it is possible to teach most of the standard material of the traditional curriculum with the proper motivatěon and exposítion of its significance. Though fortunate, this fact is not fortuitous. The standard materia1, except for a few topics and possible reordering in algebra, is the material that has been found useful - and this is why it has been taught in preference to many other possible topics. However, one should not hesitate to depart from some of it if a richer and more vital course can be fashioned. For exampie, statistics and the use of computers are substantiai topics and may arouse interest. Any topics that may have to be omitted and that are necessary to the further pursuit of mathematics can be incorporated in courses addressed to students who are definitely committed to mathematics.

Beyond these considerations there is the matter of priority in importance for mathematics and science.There is nothing intrinsically wrong with- set theory and in fact it is essential at the advanced undergraduate and graduate levels. But it does not warrant time on the elementary and high school levels. Arithmetic, algebra and geometry are far more important, and set theory does not contribute to the learning of these subjects. Analogous remarks appiy to Boolean algebra, congruences, symbolic logic, matrices, and abstract a1gebra.

Many advocates of modern mathematics have cut down drastically on Euclidean geometry. Indeed, the usual modern text replaces much of synthetic geometry by analytic geometry. Some extreme modernists have favored abolishing all synthetic geometry. "Down with Euclid" and Euclid must go" have appeared as slogans in the new mathematics movement. Such a step would be tragic. Not only is synthetic geometry an essential part of mathematics in which Euclidean geometry is the base, but geometry furnishes the pictorial interpretation of much analytic work. Mathematicians usually think in terms of pictures, and geometry not oniy furnishes the pictures but suggests new analytical theorems. It is incredible that knowledgeable mathematicians should seek to oust synthetic geometry.

There ěs a widely known story that a mathematician lecturing before a class got stuck in the middle of a proof. He went over to the side of the board, drew a few pictures, erased them and was then able to continue his lecture. What this story implies about pedagogy is seriously disturbing but it does speak for the uses of pictures.

As far as mathematica1 content is concerned all of the desirable changes amount to no more than minor modifications of the traditional curriculum, and all talk about modern society requiring a totally new kind of mathematics is sheer nonsense.

To delineate the approach to and mathematical content of courses is not enough. The concentration on curriculum has been to a large extent an escape from reality. The bigger and more vital problem is the education of teachers. Since the curriculum must furnish a liberal education and above all supply motivation for the subjects and topics we do teach, we shall have to introduce, respect and remunerate a new class of professors, mathematical scholars, who can offer the proper training of teachers.The traditional curriculum was fashioned by relatively uninformed mathematicians with no pedagogical insight. The modern mathematěcs curriculum was fashioned jointly by such people and by narrow researchers in pure mathematics with as little pedagogical insight. The people we need will have to possess breadth not only in mathematics but also in the various areas in which mathematics has influenced our culture. They will also have to be educators. This means that they will have to know how much young people can handle of abstractions and proofs, and which motivatěons will appeal to a ten-year-old and which to a fourteen-year-old. Moreover, the breadth and openness of mind desired of the ideal scholar would require that he also see mathematics from the nonmathematician's point of view so that he can appreciate the attitudes and problems of young people. To put the matter crudely, the proper mathematical scholar must not only know his stuff but also know whom he is stuffing. We need, in other words, professors of broad scholarship and educational insight as opposed to the self-centered, narrow researcher.

It is most likely that the type of person we need will have to be trained by the mathematics departments of graduate schools and be attached to the universities. The proper program for such people does not exist at present. Nor, unfortunately, does it seem likely that the acadeinic graduate schools will readily undertake such training. The inertia and narrowness of the graduate schools may be seen from a closely related problem. The graduate schools train Ph.D.s for research. However, it has been recognized for some ten or fifteen years that most of the Ph.D's trained by the graduate schools, as many as seventy-five or eighty per cent, do not do research after obtainiug the Ph.D. These people take positions in the four-year colleges and smaller universities where teaching is the maěn activity and concern. Hence ten years ago a joint committee of the American Mathematical Society and the Mathematical Association of America recommended that the graduate schools offer an alternative program that would be directed toward the preparation of college teachers rather than toward the training of researchers, toward breadth rather than depth. These prospective teachers could be awarded the usual doctors degree or a new degree to be called the Doctor of Arts. Realistic and wise as this recommendation seems to be, no major graduate school of the country took it up. As of about 1970 ten of the less prestigious universities began to experiment with such a program under the support of the Carnegie Corporation. Experience with university administrations leads one to wonder whether the wisdom of the program or the financial arrangement was the greater inducement to experiment.

The professors are not interested in training college teachers. They regard such work as demeaning and as lowering the quality of their departments. To train mathematicians who would have the breadth and competence to treat pedagogical problems of the elementary and high schools calls for a still wider departure from the research-oriented programs, and the present professors will not and in fact are not prepared to direct such training.

Some universities have tried to meet the problem of developing better schoolteachers by selecting mathematics professors as professors of education. This idea intrinsically sound, does not work - and the reasons are pertinent. Mathematicians have looked down on mathematics education as an inferior activity (in the past justified by the low quality of the schools of education. Hence, those mathematicians who are comfortable about their roles in mathematics departments will not accept positions as professors of mathematics education. Unfortunately, the universities that made the move to hire mathematicians as mathematics education professors sought mathematicians with prestige, and such men are aIl the more reluctant to accept what their colleagues would regard as an inferior position. It was often the case that those who were attracted to becoming mathematics education professors were either not particularly successful in their role as mathematicians or were attracted by factors such as money or the greater prestige of the university to whěch they would be going. But such men would not necessarily qualify as educators, and in fact they are not. The best choices for mathematics education professors would be broadly educated mathematicians with a genuine interest in education, but such people do not stand out in the mathematical world and would be harder to locate. Nor would their names add prestige to the university that invites them, because prestige in mathematics is built upon research and in view of todays intense speciaiization this almost always means narrowness. Thus in the present university atmosphere the endeavor to get mathematicians to serve as education professors either attempts to mate a horse and a donkey (there is no implication as to which is which) and produces a sterile progeny, or it succeeds in attracting men who fall between two stools and fall hard.

The primary function of the mathematica1 scholars would be to improve the education of e1ementary school and high school teachers of mathematics. At present the knowledge of mathematics which these teachers possess is often inadequate; nor are they required to know anything about the uses and cultural reaches of mathematics. In particular they know no science. Clearly such teachers are not prepared to teach a libera1 arts course in mathematics, to motivate mathematics through non mathematical problems, or to apply mathematics. Most mathematics teachers have been assured that mathematics is important and they tell this to their students.However, they are unable to show how it is important, and so their attempts to convince students lack conviction. Students can see through hollow assurances.

Other forces also operate against the possibility of training teachers properly. The Committee on the Undergraduate Program in Mathematics (CUPM), a committee of the Mathematical Association of America, has prepared a Course Guide for the Training of Junior High and High School Teachers of Mathematics. The college courses recommended for this training are analytica1 geometry and calcu1us, abstract algebra, linear algebra, geometry, probability and statistics, logic and sets. There was not even the suggestion, much less a requirement, that these prospective teachers should study science.

At the present time the schoolteacher is in a dilemma. Many are located in small communities which are not close to a major university. Those who could conveniently take mathematics courses at a university are not much better off. If they go to the graduate division of the university they must undertake a masters or doctoral program in mathematics. The courses in these prograxns are directed to prospective research mathematicians and so do not offer the breadth that schoolteachers need. The courses are also too difficuit. The alternative for the teachers is to go to a School of Education. Here they may learn about education but not subject matter. So the teachers are in no better position to judge what is important in mathematics and to develop the competence to teach and write texts for the schools.

The training of good teachers is far more important than the curriculum. Such teachers can do wonders with any curriculum. Witness the number of good mathematicians we have trained under the traditional curriculum, which is decidedly unsatisfactory. A poor teacher and a good curriculum will teach poorly whereas a good teacher will overcome the deficiencies of any curriculum.

Who is to fashion the right curriculum of the future? The broad mathematicai scholars and the experienced, mature, well-educated elementary and high school teachers are the proper people. Research people, psychologists, and education professors of the current type may serve as consultants but certainly should not lead this work. Beyond this, the schoolteachers should be the arbiters of what is to be taught and how it is to be taught. They are the ones who have worked with young people and know best what motivates them and what degree of abstraction they can absorb.

What criterion of success should we utilize? It shouid not be how far students have advanced in mathematics - many high schools boast today that their students take calculus - nor what sophistěcated notions they have been taught. When we reach the stage where fifty per cent of the high school graduates can honestly say that they like mathematics and appreciate its significance, then we shall have attained a large measure of success in the teaching of mathematícs.

In viéw of the shameful record of mathematics education past and present, how is it that mathematics has survived and that we have a flourishing, if not altogether sound, mathematical activity in this country? I think that we owe what we have accomplished to a few wise, mature, devoted teachers who by their care in choosing what to emphasize and by their personal charm and magnetism have attracted some students to mathematics. Those noble souls have saved us from disaster.

Bibliography

Aichele, Douglas B. and Robert E. Reys: Readings In Secondary School Mathematics, Prindie, Weber and Schmidt, Inc., Boston, 1971.

Allendoerfer, C. B.: "The Narrow Mathematician", American Mathematical Monthly, 69, 1962, 461-469.

Begle, E. G.: "Open Letter to the Mathematical Community", The Matheinatics Teacher, 59, 1966, 341 and 393. Also in Science, 151, 1966, 632.

Birkhoff, George D.: "The Mathematical Nature of Physical Theories", American Scientist, 31, 1943, 281-310.

Cambridge Conference on School Mathematics: Goals for School Mathematics, Houghton Mifflin Co., Boston, 1963.

Carrier, George F. et al: Applied Mathematics: What is Needed in Research and Education, SIAM Review, 4, 1962, 297-320.

Council for Basic Education: Five Views of the "New Math", Washington, D.C., April 1965. Occasional Papers #8. Articles by H. M. Bacon, A. Calandra, R. B. Davis, M. Kline, E. E. Moise.

Deans, Edwina: Elementary School Mathematics: New Directions, United States Office of Education, 1963.

DeMott, Benjamin: "The Math Wars", The American Scholar, Spring Issue, 1962, 296-310.

Fehr, Howard F.: "The Role of Physics in the Teaching of Mathematics," International Symposium on the Coordination of Instruction in Mathematics and Physics, Beigrade, 1962, 25-32.

Fehr, Howard F.: "Sense and Nonsense in a Modern School Mathematics Program," The Arithmetic Teacher, Feb.1966, 83-91.

Fehr, Howard F. and J. Fey: The Secondary School Mathematics Curriculum Study, American Mathematical Monthly, 76, 1969, 1132-1137.

Feynman, Richard P.: New Textbooks for the New Mathematics, Engineering and Science, 28, 1965, 9-15.

Fremont, Herbert: New Mathematics and Old Dilemmas, The Mathematics Teacher, 60, 1967, 715-719.

Fremont, Herbert: How to Teach Mathematics in Secondary Schools, W. B. Saunders Co., Philadelphia, 1969.

Hammersley, J. M.: "On the Enfeeblement of Mathematical Skills by 'Modern Mathematics' and by Similar Soft Intellectual Trash in Schools and Universities, Bulletin of the lnstitute of Mathematics and Its Applications, Oct. 1968, 66-85.

Heath, R., ed.: New Curricula, Harper and Row, 1964.

Herstein, I. N.: On the Ph.D. in Mathematics, American Mathematical Monthly, 76, 1969, 818-824.

Khinchin, A. Ya.: The Teaching of Mathematics, American Elsevier Publishing Company, Inc., N.Y., 1968.

Kline, Morris: Mathematics and the Physical World, T. Y. Crowell Co., N.Y., 1959.

Kline, Morris: Mathematics, A Cultural Approach, Addison-Wesley Publishing Co., Reading, Mass., 1962.

Kline, Morris: "Mathematical Texts and Teachers: A Tirade", The Mathematics Teacher, 49, 1 956, 1 62-1 72.

Kline, Morris: The Ancients Versus the Moderns: A New Battle of the Books, The Mathematics Teacher, 51, 1958, 418-427.

Kline, Morris: "A Proposal for the High School Mathematics Curriculum," The Mathematics Teacher, 59, 1966, 322-330.

Kline, Morris: "Intellectuals and the Schools: A Case History," The Harvard Educational Review, 36, 1966, 505-511

Kline, - Morris: "Logic Versus Pedagogy," American Mathematical Monthly, 77, 1970, 264-282.

Manheimer, Wallace: "Some Heretical Thoughts from an Orthodox Teacher," The Mathematics Teacher, 53, 1960, 22-26.

McIntosh, Jerry A., ed.: Perspectives on Secondary Mathematics Educatěon, Prentice-Hall, N.J., 197 1.

Merriell, D. M.: "Second Thoughts on Modernizing the Curriculum," American Mathematical Monthly, 67, 1960,76-78.

Minsky, Marvin: "Form and Content in Computer Science," Journal of the Association for Computing Machinery,17, 1970, 197-215.

Moise, Edwin: "Some Reflections on the Teaching of Area and Volume," American Mathematical Monthly, 70, 1963, 459-466.

Moore, E. H.: "On the Foundations of Mathematics," American Mathematical Society Bulletin, 9, 190-3, 402-424.

National Council of Teachers of Mathematics: The Revolution in School Mathematics, National Council of Teachers of Mathematics, Washington, D.C., 1961.

National Council of Teachers of Mathematics: An Analysis of New Mathenatics Programs, National Council of Teachers of Mathematics, Washington, D.C., 1963.

National Council of Teachers of Mathematics: "The Secondary Mathematics Curriculum," The Mathematics Teacher, 52, May 1959, 389-417.

Neumann, John von: "The Mathematician," an essay in E. B. Heywood, ed.: The Works of the Mind, University of Chicago Press, 1957.

Nevanlinna, Rolf: "Reform in Teaching Mathematics," American Mathematical Monthly, 73, 1966, 451- 64.

Sawyer, W. W.: "The Reconstruction of Mathematical Education," Journal of Engineering Education, 51, 1960, 98-113.

Smith, D. B.: "Some Observations on Mathematics Curriculum Trends," The Mathematics Teacher, 53, 1960, 85-89.

Stone, Marshall H.: "The Revolution in Mathematics," American Mathematical Monthly, 68, 1961, 715-734; also in Liberal Education, 47, 1961, 304-327.

Stoker, James J.: "Some Observations on Continuum Mechanics," American Mathematical Society Bulletin, 68, 1962,239-.278.

Synge, John L.: "Focal Properties of Optical and Electro-magnetic Systems," American Mathematical Monthly, 51, 1944, 185-187.

Thom, René: "Modern Mathematics: An Educational and Philosophical Error?" American Scientist, 59, 1971, 695-699.

Weinberg, Alvin M.: "But Is the Teacher AIso a Citizen?" Science, 149, August 6, 1965, 601-606.

Weinberg, Alvin M.: Reflections on Big Science, M.1.T. Press, 1967. See especially p. 160.

Whitehead, Alfred North: The Aims of Education and Other Essays, The New American Library, N.Y., 1949.

Whitehead, Alfred North: Essays in Science and Philosophy, Philosophica1 Library, N.Y., 1948..

Wittenberg, Alexander: Sampling a Mathematical Sample Text, American Mathematical Monthly, 70, April 1963, 452-459.

MORRIS KLINE did his undergraduate work at New York University and received a Ph.D. there in mathematics. He engaged in post-doctoral research at the Institute for Advanced Study in Princeton, spent a year in Germany as a Guggenheim Fellow, and was Director of the Division of Electromagnetic Research at NYU's Courant Institute of Mathematical Sciences for twenty years. He was Professor of Mathematics at NYU. Among Professor Kline's books are Mathematics in Western Culture and Mathematics and the Physical World. The Late Professor and Mrs. Helen Kline have three children.

Copyright © Helen M. Kline & Mark Alder 2000

Back to Contents

Version 30th March 2018

[HomePage] Prof Morris Kline